Résumé
Il y a eu des progrès récents dans l'ingénierie des réseaux basés
sur la communication moléculaire (MC) pour les applications
nanomédicales. Cependant, l'intégration de MC avec des biomatériaux
tels que les nanotubes de carbone (NTC) présente divers défis de
recherche critiques. Dans cette étude, les auteurs ont envisagé
d'intégrer un nanoréseau basé sur MC avec des CNT pour optimiser les
performances du nanoréseau. Dans les réseaux de neurones, une réduction
chronique de la concentration du neurotransmetteur acétylcholine (ACh)
conduit éventuellement au développement de maladies neurodégénératives
; par conséquent, ils ont utilisé des NTC comme interrupteur
moléculaire pour optimiser la conductivité de l'ACh soutenue par le MC
artificiel. De plus, MC permet la communication entre les neurones
émetteurs et les neurones récepteurs pour affiner le taux de libération
d'ACh en fonction de la concentration de rétroaction d'ACh. Par la
suite, ils ont proposé un schéma de rétroaction min/max pour affiner le
débit attendu et l'efficacité de transmission ACh. À des fins de
démonstration, ils ont déduit des formulaires analytiques pour les
schémas proposés en termes de débit, de taux de trafic encourus et de
retard moyen des paquets.
1 Introduction
Parallèlement à la propagation rapide des nanoréseaux basés sur la
communication moléculaire (MC), considérés par beaucoup comme n'en
étant qu'à leurs balbutiements, des progrès récents ont été réalisés
dans le développement de biomatériaux basés sur la nanotechnologie tels
que les nanotubes de carbone (NTC) à utiliser en neurosciences. Un
accent particulier a été mis sur les applications nanobiomédicales et
les systèmes de délivrance de médicaments ciblés (DDS), dans le but
d'utiliser les MC et les CNT à des fins thérapeutiques et de résoudre
les problèmes cognitifs dans le nanoréseau nerveux intra-corporel [1].
Cependant, leur utilisation peut être confrontée à des défis de
conception et à de sérieux risques pour les applications in vivo. Dans
cette étude, nous avons étudié l'assimilation de MC dans les NTC pour
améliorer les performances de communication des nanoréseaux. Nous avons
illustré le développement de la bio-nanotechnologie et des biomatériaux
neuronaux artificiels, en particulier les NTC, et la possibilité de les
intégrer dans des systèmes biologiques pour créer un système MC. En
outre, nous avons tenté de construire théoriquement un nanoréseau MC
artificiel intégré.
MC est actuellement considéré comme une approche prometteuse pour
transmettre des informations dans le nanoréseau intra-corporel. Une
nanomachine est un élément du nanoréseau qui facilite les opérations
désignées, par ex. traitement, actionnement, logique et détection [2].
De plus, les nanomachines ont la capacité d'échanger des informations
lorsqu'elles sont interconnectées au moyen de MC [3]. Un nanoréseau
intra-corporel simple peut être réalisé en connectant un groupe de
nanomachines artificielles/synthétiques ou biologiques pour effectuer
des tâches et des fonctions complexes dans le corps humain, telles que
le diagnostic et le traitement biomédicaux, ou la transduction de
signaux neuronaux et le contrôle neuronal [4]. Nous avons récemment
étudié les effets moléculaires d'un tel système sur la structure
électronique d'une nanomachine dans le contexte des performances d'un
nanoréseau à base de MC [5]. Des études récentes ont illustré les
avancées les plus récentes dans le domaine des nanoréseaux basés sur MC
[6-8].
L'utilisation des nanotechnologies dans les neurosciences modernes a
permis des stratégies thérapeutiques régénératives en exploitant les
interactions directes ou spécifiques entre les cellules biologiques et
les nanomatériaux synthétiques. Dans cet article, les caractéristiques
et les dimensions à l'échelle nanométrique des NTC facilitent
l'interaction moléculaire entre les cellules vivantes, y compris les
neurones [9, 10]. Par conséquent, des études expérimentales sur les
conducteurs CNT à base de MC ont été menées [11], et une interconnexion
moléculaire stable basée sur un commutateur pour coupler des molécules
et des CNT a été proposée [12]. De plus, les NTC offrent une nouvelle
alternative aux molécules thérapeutiques vis-à-vis des MC dans le
nanoréseau intra-corporel humain [13, 14]. Récemment, Malak et Akan
[15] du Laboratoire de la prochaine génération et des communications
sans fil ont fait des progrès dans les méthodes de traitement inspirées
des technologies de l'information et de la communication (TIC) pour les
maladies neuronales en utilisant des NTC capables de reconnaître la
libération de molécules de neurotransmetteurs dans le système
intra-utérin. -nanoréseau nerveux du corps. De plus, Akan et al. [16]
ont exploré la possibilité d'appliquer les TIC dans un nanoréseau
moléculaire intra-corporel pour le traitement et le diagnostic des
maladies malignes. Ils ont conclu que l'adoption d'une approche basée
sur les TIC profite au développement de DDS intelligents pour le
traitement de la maladie d'Alzheimer, de la maladie de Parkinson et de
diverses maladies cardiaques.
2 Travaux et contributions connexes
En règle générale, dans les systèmes
nerveux, les neurones émettent des pointes électriques, appelées
potentiels d'action (PA) qui sont responsables de la libération de
molécules de neurotransmetteurs d'acétylcholine (ACh) qui se
propagent dans l'axone. La stimulation externe déclenche la
communication entre le cerveau et différentes parties du nanoréseau
nerveux. Dans un tel nanoréseau, le cerveau permet des modifications
de l'excitabilité neuronale, stimule la plasticité synaptique et la
transmission synaptique, et gère l'AP des neurones en fonction de la
variation des neurotransmetteurs ACh [17]. L'ACh facilite la réaction
ou la rétroaction des réseaux de neurones dans diverses sections du
cerveau, faisant de la modulation cholinergique un mécanisme crucial
sous-jacent aux comportements complexes. Des recherches récentes
utilisant la spectroscopie Raman ont confirmé l'adsorption des
molécules d'ACh sur les NTC [14]. Ce système délivre efficacement
l'ACh aux neurones via l'axoplasme des neurites et améliore les
effets de la maladie d'Alzheimer [18], et il est considéré comme la
première étape vers des nanoporteurs pour l'administration de
médicaments au système nerveux central (SNC). Par la suite, les CNT
ont été utilisés comme système de délivrance pour le traitement des
pathologies du SNC en fonction de leurs caractéristiques
structurelles, et la modification chimique des CNT a également été
décrite [19]. La barrière hémato-encéphalique présente un défi pour
l'administration de médicaments au cerveau. Cependant, des études
récentes ont rapporté le déploiement réussi de NTC fonctionnalisés
pour délivrer des médicaments ou des gènes au cerveau [20-22]. Des
preuves à l'appui de l'utilisation des NTC dans la régénération des
neurones ont été rapportées dans [23, 24].
Fait intéressant, une biopuce multi-électrodes (MEA) à base de CNT a
été développée [25] pour mesurer les concentrations de
neurotransmetteurs, tels que la dopamine, et les réponses
électrophysiologiques, telles que les PA. Cette biopuce facilite
l'investigation en temps réel des activités présynaptiques et
postsynaptiques et joue donc un rôle important dans le traitement de
l'information dans le réseau de neurones. Dans le même contexte, il a
été démontré que les NTC renforcent l'efficacité de la transmission
du signal entre le cerveau et le système nerveux [26]. Cependant, des
rapports récents [27-29] ont montré que dans certaines circonstances,
l'AP peut se propager vers les dendrites. Ce phénomène de
rétropropagation neuronale peut influencer le taux de libération de
l'ACh et provoquer une transmission fluctuante de l'ACh. Cela affecte
la diffusion de l'ACh sur le neurone postsynaptique et par
conséquent, la probabilité de transmission. Dans cette étude, nous
exprimons cette fluctuation de la transmission de l'ACh comme le
nombre de molécules d'ACh traitées par les récepteurs
post-synaptiques par unité de temps, c'est-à-dire le débit.
Violoncelle et al. [27] ont proposé « l'hypothèse électronique » pour
expliquer les interactions entre les NTC et les neurones. Ces auteurs
ont développé un mécanisme pour étudier l'effet des CNT sur
l'efficacité de la transmission du signal neuronal dans les réseaux
de neurones cultivés et ont découvert que la rétropropagation de l'AP
peut être améliorée par interaction avec les CNT. De plus, certains
auteurs [30, 31] ont proposé un réseau neuronal artificiel basé sur
le système MC dans lequel ils ont conçu des protocoles de
programmation de transmission et une interface entre la
bio-nanomachine et les neurones pour faciliter l'initiation de la
signalisation et réduire la possibilité d'interférences.
Ainsi, les développements de la bionanotechnologie et l'ingénierie
des nanomachines biologiques permettent de communiquer avec les
systèmes biologiques au niveau moléculaire en créant une interface
entre les nanomachines artificielles ou biologiques et le réseau de
neurones.
Notre schéma proposé s'appuie sur des expériences / mesures
approfondies réalisées par les auteurs [25, 27, 31] et développe
davantage le travail fascinant de Nakano et al. [32] qui ont proposé
des schémas de contrôle du taux de libération pour le MC basé sur
DDS. La contribution majeure de cette dernière étude a été la
proposition d'assimiler les MC aux NTC pour optimiser la conductivité
de l'ACh dans le réseau de neurones artificiels. Cette approche a
amélioré l'efficacité de la transmission du signal neuronal, comme
indiqué dans [27]. Les neurones émetteurs (TN) et les neurones
récepteurs (RN) soutenus par une biopuce CNT-MEA [25] montrent une
communication améliorée. Par conséquent, nous proposons un
commutateur moléculaire, à savoir une porte logique XOR basée sur CNT
qui permet un réglage fin du taux de libération de TN ACh en fonction
de la concentration de rétroaction de ACh renvoyée par le RN. Pour ce
faire, nous avons exploité les aspects de conception d'une interface
neuronale à l'aide d'un nanocapteur [31] capable d'initier la
signalisation neuronale et permettant d'optimiser le protocole de
programmation de la transmission neuronale. Par la suite, nous avons
utilisé un schéma de taux de libération basé sur Min/Max qui prend en
compte la concentration d'ACh et peut fonctionner en plus du
protocole pour compenser la transmission d'ACh. En résumé, les
principaux objectifs de cette étude étaient les suivants :
-
Concevoir un système de diffusion basé sur MC dans un réseau
de neurones artificiels pour atteindre le débit et l'efficacité
de la transmission moléculaire.
-
Intégrer le MC dans les CNT en exploitant les caractéristiques
des CNT et du MC pour optimiser les performances du nanoréseau
moléculaire artificiel.
-
Utiliser la théorie cinétique enzymatique pour développer des
schémas de contrôle de la vitesse de libération moléculaire.
-
Développer un modèle épidémiologique
sensible-infecté-récupéré (SIR) de propagation de la maladie.
-
Analyser les performances du nanoréseau en termes de délai
moyen de livraison et de débit de trafic encouru.
Le reste de cet article est structuré comme suit. Les descriptions
de système, couvrant les processus de transmission, de propagation et
de réception dans le nanoréseau technique basé sur MC, sont présentées
dans la section 3 ; les applications des NTC en nanomédecine sont
présentées dans la section 4 ; l'intégration des CNT et MC et le schéma
de contrôle de rétroaction min/max proposé sont décrits dans la section
5 ; la performance du nanoréseau proposé est explorée dans la section 6
; les résultats de l'analyse numérique effectuée par comparaison sont
présentés dans la section 7 ; et dans la section 8, nous tirerons des
conclusions utiles et délimiterons des orientations pour les travaux
futurs.
3 Description du système MC conçu
Cette section présente un système MC conçu pour le nanoréseau
neuronal artificiel proposé, qui comprend la transmission synaptique,
la diffusion et la réception basée sur la réaction cinétique
enzymatique, ainsi que la dérivation du débit de transmission
moléculaire de la limite supérieure
3.1 Synaptic communication
Dans un nanoréseau nerveux, la communication neuronale est
réalisée au niveau des synapses, qui sont des jonctions biologiques
par lesquelles le signal neuronal peut être transféré entre les
neurones ou vers d'autres cellules, comme les cellules musculaires
[33]. En d'autres termes, la synapse est le site d'apposition
fonctionnelle entre deux cellules, où le TN (c'est-à-dire le neurone
présynaptique) convertit le signal électrique en un signal chimique
qui est libéré dans la fente synaptique pour se propager et
éventuellement se lier aux récepteurs situés sur le membrane du RN
(c'est-à-dire neurone postsynaptique). Comme l'illustre la figure 1,
le neurone se compose principalement de trois parties fonctionnelles
: le soma (corps cellulaire), les dendrites et l'axone. La pointe
électrique est générée à partir du soma uniquement lorsque le
potentiel est supérieur à une valeur seuil. Ces pointes se déplacent
entre le SNC et les différentes parties du corps. Les dendrites et
les axones sont des débouchés s'étendant du soma. Les dendrites et
le soma permettent au neurone de recevoir des signaux d'autres
neurones, tandis que les axones transmettent le signal à d'autres
neurones. Dans cet article, une collection de neurones à la sortie
de l'axone appelée nerf agit comme un nœud intermédiaire entre le
cerveau et les cellules ciblées. Ainsi, le cas échéant, des dommages
surviennent au nerf, la communication entre le soma et les cellules
cibles est interrompue et le neurone est incapable d'envoyer
efficacement le signal. Par conséquent, le SNC est capable de
contrôler et de connecter d'autres parties du corps via les circuits
neuronaux, qui sont formés par les synapses du SNC [16].

Fig. 1 (Synaptic
communication)
L'ACh est un neurotransmetteur naturel ; il fait partie
du système nerveux cholinergique et est responsable des activités
nerveuses de haut niveau, y compris l'apprentissage, la mémoire et la
pensée [18, 35, 36]. La procédure biologique associée à la synthèse, au
stockage, à la réaction du récepteur et à la terminaison de l'ACh a été
résumée [37]. Les molécules d'ACh sont principalement stockées dans des
vésicules, comme le montre la Fig. 1. Une arrivée AP au niveau de la
cellule présynaptique entraîne la libération d'ACh sur la base d'une
probabilité "a priori". Nous avons modélisé la libération de vésicules en
tant que génération de paquets dans le canal, ce qui fait référence à la
conversion des pics continus en séquence de paquets dans la communication
neuro-spike [5]. Par conséquent, les molécules d'ACh sont propagées par le
neurone présynaptique dans la fente synaptique. Par la suite, la diffusion
de l'ACh ciblant le neurone postsynaptique est déclenchée. Les molécules
d'ACh se lient ensuite à des récepteurs spécifiques sur le neurone cible
via un mécanisme récepteur-ligand [34]. Cette liaison ouvre un canal
ionique sur le neurone postsynaptique, permettant le flux d'ions dans ce
neurone. Nous avons étudié la transmission synaptique et le traitement de
l'information basés sur la communication neuro-spike dans les réseaux de
neurones dans des études précédentes [5, 38, 39].
3.2 Diffusion basée sur MC
Nous avons considéré un sous-nanoréseau du système
nerveux analogue au nanoréseau intra-corporel proposé précédemment [15],
qui consiste en un certain nombre de neurones capables de collecter et de
transmettre des informations entre différentes parties du nanoréseau. La
communication entre les neurones commence lorsque les AP se déplacent des
neurones présynaptiques aux neurones postsynaptiques via la fente
synaptique [40]. Par conséquent, un modèle de nanoréseau est envisagé
comme une communication entre TN et RN, dans lequel l'émission et la
réception de molécules agissent comme des signaux de communication. De
plus, nous avons envisagé l'utilisation de neurones cultivés sur un
substrat de CNT au moyen de la nanotechnologie pour améliorer la
connectivité neuronale et augmenter l'efficacité des réponses synaptiques,
comme indiqué dans [27].
Pour concevoir un nanoréseau MC complet à l'échelle nanométrique pour les
(bio-) nanomachines biologiques, nous avons envisagé un scénario
hypothétique simple comprenant un certain nombre de bio-nanomachines, dans
lequel Nn représente le nombre de nanoporteurs. Ces bio-nanomachines
transportent des molécules d'ACh dans le nanoréseau proposé. Par
conséquent, nous utilisons indifféremment les bio-nanomachines et les
molécules d'ACh dans cet article. Pour la transmission d'informations,
l'émission de molécules d'ACh a lieu instantanément via le déclenchement
d'un pic AP, et ainsi, les TN génèrent un certain nombre de molécules d'ACh
avec un taux de libération de R in (molécules/s). Par conséquent, le
signal moléculaire est codé dans différents modèles de rafales de
molécules d'ACh en utilisant une simple signalisation ON/OFF keying (OOK)
ou un canal Z symétrique binaire [5]. Outre la simplicité du schéma OOK,
il convient à la conception de nanorécepteurs dans laquelle la réception
ACh est similaire à la fermeture ou à l'ouverture de la porte du canal
ionique. Nous considérons que la taille de la rafale est constante et
égale à l'intervalle de transmission, T s, qui dépend de la distance entre
le TN et le RN et de l'emplacement du récepteur sur le RN.
Nous avons supposé ce qui suit : que les molécules d'ACh
sont transmises en milieu aqueux ; que le taux de dégradation des
molécules d'ACh (k d) dérive d'un environnement dynamique uniformément
réparti dans le corps tel que celui provoqué par la présence d'autres
molécules qui réagissent avec l'ACh ; pH; et la température et la
pression ambiantes. De plus, nous avons supposé que les molécules d'ACh
circulent en adhérence au mouvement brownien et suivent la loi de
diffusion de Fick [32]
(1)
où
représente la concentration des molécules d'ACh en fonction du temps et r dimensions, D est
le coefficient de diffusion, et l'opérateur différentiel laplacien est
En fait, nous étions intéressés à développer une
expression sous forme fermée pour la concentration d'ACh à l'état
d'équilibre, en commençant par
à
distance d de la RN entraînant la transmission et la propagation.
Par conséquent, nous avons supposé que tous les TN étaient à l'origine
de et
toutes les RNs doivent être placés à d (>0).
Par conséquent, la distance entre les TNs et les RNs est donnée comme la
distance moyenne, d [32],
et est
donné par
(2)
où

Le MC se produit entre des groupes de TN et de RN,
comme illustré à la Fig. 2 a, chaque TN étant capable de transporter des
molécules d'ACh qui se propagent dans le milieu. Les récepteurs au RN
réagissent chimiquement avec les molécules d'ACh qui diffusent à travers
le milieu et produisent ainsi un autre type de molécule (P) dans un
processus analogue à un processus cinétique enzymatique (c'est-à-dire
que l'ACh est un substrat/réactif et que P est la réaction produit). Si
le RN n'est pas capable de réagir complètement, une partie de l'ACh
restera dans le milieu et finira par se dégrader, contribuant ainsi aux
pertes, comme décrit plus loin. Par conséquent, lors de la transmission
d'une salve d'ACh, c'est-à-dire lorsque chaque TN transmet
instantanément R dans × T s molécules au début de tout intervalle de
temps indépendant (T s), l'ACh transmise diffuse dans le milieu par
mouvement brownien et peut se dégrader à un taux fixe (k d) comme
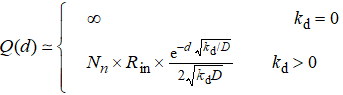
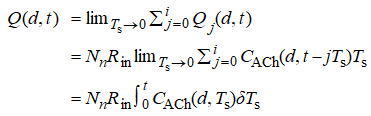
illustré en (2). En conséquence, la contribution des molécules d'ACh
transportées au temps jT s, j ∈{0, 1, 2,…} à la concentration surveillée
à distance d, notée Qj (d, t), est donnée par [32]
(3)
où Nn désigne le nombre de nanomachines transportant l'information.

Fig.2 (
ACh MC-based neural network)
(a) Modèle de système
simplifié, (b) Contribution
des molécules d'ACh transportées aux intervalles de temps T 1–3
La figure 2b illustre l'impact de (3), qui indique la dégradation de la
concentration d'ACh sur une longue durée (t) à différents intervalles de
temps (Ts) en fonction de la distance de séparation (d) entre le TN et le
RN. Pour une période infinitésimale δT s, la concentration d'ACh à d et au
temps t = jT s est l'accumulation de toutes les molécules d'ACh
transmises pendant 0–t, et peut être exprimée comme suit :
(4)
En substituant (2) à (4), on obtient
(5)
Une solution d'approximation de (5) est fournie par Nakano et al.
[32], comme suit :
(6)
L'équation (6) révèle que la concentration Q (d, t) dépend
principalement du taux de transmission R in (molécules/s) et du nombre
de bio-nanomachines (Nn) transportant l'information. De plus, il est
fonction des paramètres du système, tels que le taux de dégradation (k
d), le coefficient de diffusion (D) et la distance moyenne (d). Nous
avons numériquement résolu (6) pour déterminer la concentration Q (d, t)
à la distance d et au temps t, comme illustré à la Fig. 3, dans laquelle
Q (d, t) est tracé en fonction du temps t pour différentes valeurs de k
d et les paramètres du système indiqué. L'effet de k d sur la
concentration transmise est évident. Après qu'un temps suffisamment long
s'est écoulé (t →∞) à partir du moment où le TN commence à transporter
les molécules d'ACh, la concentration d'ACh atteint l'état d'équilibre.
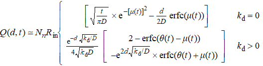
Par conséquent, en remplaçant t →∞ dans (6), la concentration à l'état
d'équilibre des molécules d'ACh à distance d résultant du processus de
transmission peut être exprimée sous la forme suivante :
(7)
Fig.3 (ACh
MC-based neural network)
3.3 Processus de réception
Le processus de réception se produit via un
mécanisme ligand-récepteur. Comme décrit ci-dessus, l'ACh est
responsable de la transmission synaptique ; ainsi, l'ACh, agissant
comme ligand, active le récepteur, établissant ainsi le mécanisme
ligand-récepteur. Nous avons supposé que le neurone postsynaptique
avait un certain nombre Nr de récepteurs postsynaptiques (par exemple,
des récepteurs nicotiniques), chacun ayant un volume v. L'ACh est
hydrolysée enzymatiquement en choline et en acide acétique par
l'acétylcholinestérase (AChE) dans la synapse, et les activités
enzymatiques sont principalement dépensées sur ACh entrant. Cependant,
la transmission synaptique dans un nanoréseau nerveux peut être
perturbée par des agents neurotoxiques, qui sont des composés
chimiques organophosphorés qui inhibent l'AChE [41]. Cela signifie que
les inhibiteurs de l'AChE relâchent le taux de dégradation et
permettent à plus d'ACh de se lier aux récepteurs postsynaptiques. Par
conséquent, nous exploitons la théorie de la cinétique enzymatique
pour obtenir une expression sous forme fermée pour le débit de la
limite supérieure, comme illustré dans (13).
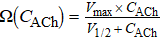
Pour le moment, nous avons exprimé la vitesse de
réaction globale en multipliant le volume du récepteur, v et la
vitesse de réaction chimique, Ω(.) (qui est en fait une fonction de
la concentration d'ACh à distance d) à l'état d'équilibre à la RN
comme R out (ré):
(8)
Les molécules d'ACh se lient aux récepteurs à
la surface du RN et sont transformées en complexes liés P par une
série d'étapes analogues à la réaction enzymatique. Par la suite, l'ACh
est libérée en fonction du taux de liaison inverse (k r) et sa
formulation chimique dépend du taux de liaison directe (k f) en
fonction de la cinétique de la réaction. Cette réaction est exprimée
par [42]
(9)
où ACh et E (c'est-à-dire les récepteurs ACh
sur les RN) interagissent pour former un complexe C (ACh–E). C est
séparé en ACh et E ou est converti en P (produit) et E. Par
conséquent, la vitesse de réaction chimique au RN pour un seul site
de liaison, (le nombre de molécules d'ACh réagissant par unité de
volume) peut être exprimée sous la forme d'un hyperbolique fonction
[43]
(10)
où V max est la vitesse de réaction maximale
et est la moitié de la concentration d'ACh. Notamment, la vitesse de
réaction chimique, pour un récepteur avec plusieurs sites de liaison
(n) peut être exprimée par une fonction sigmoïde comme suit :
(11)
Après que les molécules d'ACh ont été
reconnues par un récepteur post-synaptique, certaines sont propagées
dans la fente synaptique [17]. Par conséquent, nous nous sommes
intéressés à évaluer le nombre de molécules d'ACh qui réagissent
avec les récepteurs par unité de temps (défini comme le débit). La
transmission en régime permanent révèle que (i.e. ).
Par conséquent, in
(11)
est une fonction croissante et peut être utilisée pour développer
une expression pour le débit de la limite supérieure, thmax [32]
(12)
En utilisant (11) et (7), le débit limite
supérieur (thmax) dans (12) est déduit comme
(13)
De plus, l'efficacité de transmission (E) peut
être calculée en divisant thmax par le nombre total de molécules d'ACh
transmises par unité de temps. En complément du calcul précédent,
l'efficacité de la limite supérieure (E max) est donnée par
(14)
Il est important de calculer le débit et
l'efficacité de la transmission de l'ACh car l'ACh joue un rôle
crucial dans le système nerveux périphérique lors des mouvements
musculaires et dans le SNC, où on pense qu'il affecte
l'apprentissage et la mémoire [18, 35, 36]. En conséquence, le débit
et l'efficacité sont considérés comme des mesures pharmacologiques
prometteuses de la transmission des molécules d'ACh, en particulier
dans les DDS. Nous avons numériquement résolu les équations
ci-dessus pour montrer les performances du débit de transmission et
de l'efficacité par rapport au débit de transmission (R in), comme
illustré à la Fig. 4. Nous avons constaté que le débit de
transmission augmentait à mesure que le débit de transmission
augmentait, et l'efficacité de transmission était très sensible au
débit de transmission, en particulier aux faibles valeurs. Fait
intéressant, l'efficacité des molécules d'ACh était conforme aux
résultats antérieurs sur les performances des pointes (AP) dans les
réseaux de neurones artificiels à base de MC [31] et les neurones en
cluster dans les CNT [27].

Fig.4 (Transmission
throughput and efficiency of ACh in the proposed nanonetwork)
3.4 Analyse de propagation
Nous avons précédemment étudié un paradigme de MC
parmi les nanomachines basé sur un mécanisme de collision/adhésion
[5]. Nous avons prouvé que, lors d'une collision, l'adhésion est
réalisée, permettant l'échange d'informations entre les nanomachines.
Une transmission réussie est obtenue en utilisant le paradigme de
communication neuro-spike [5]. Dans le modèle de système proposé, nous
avons appliqué un modèle de propagation comprenant un seul paquet
d'informations généré par le TN, qui est utilisé pour modéliser la
distribution d'une maladie infectieuse. Dans les schémas de
propagation de maladies épidémiques basés sur le modèle SIR standard
[5], un seul paquet est propagé conformément à la discipline du report
de stockage. Dans ce contexte, nous considérons que le paquet unique
d'informations est analogue à la molécule d'ACh, qui est libérée d'une
vésicule. De plus, dans le réseau proposé, la propagation de l'ACh est
affectée par divers facteurs environnementaux, tels que le pH, la
température, la viscosité du milieu et la distance entre le TN et le
RN [20, 32]. Par conséquent, nous devons prendre en compte
l'interaction des molécules d'ACh au RN, c'est-à-dire le débit de
transmission maximal (thmax).
Comme mentionné précédemment, nous avons noté le
nombre total de bio-nanomachines comme Nn ; leur but est de
transporter les molécules d'ACh dans le nanoréseau. De plus, Td est
une variable aléatoire définie comme le temps écoulé depuis la
libération de la molécule d'ACh par le TN jusqu'au moment où le
paquet est reçu par le RN. Alignés sur le modèle SIR [5], s (t), i
(t) et r (t) représentent respectivement le nombre de nanomachines
suspectées, le nombre de nanomachines infectées et le nombre de
nanomachines récupérées au temps t. Ainsi, le taux de transition
vers l'état i peut être déduit comme β × s × i, alors que le
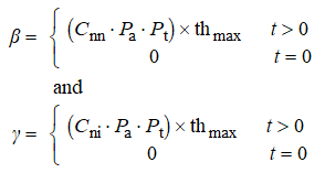
taux de transition sortant d'un état i donne γ × i. β représente
le taux de propagation des paquets entre les nanomachines avec un
débit de transmission thmax, et γ indique le débit avec un débit de
transmission thmax auquel les nanomachines infectées sont
récupérées. De plus, nous avons adopté le paradigme MAMNET et les
découvertes précédentes [5, 44] dans le cadre du processus de
propagation pour évaluer les paramètres β et γ en tenant compte du
débit de transmission ACh comme suit :
(15)
où C ni et C nn désignent le taux de collision
pour la nanomachine et la nanomachine infectée, et le taux de
collision entre deux nanomachines, respectivement. P a et P t
représentent respectivement la probabilité d'adhésion et la
probabilité de transmission réussie. Les expressions extrapolées de
ces paramètres ont été dérivées sur la base de la structure
électronique moléculaire du neurotransmetteur ACh et des paramètres
d'un système de communication neuro-spike [5].
4 NTC dans les applications de nanomédecine
Les NTC sont un nanomatériau émergent entièrement
composé d'atomes de carbone disposés en anneaux benzéniques. Les
anneaux sont combinés avec des feuilles de graphène qui sont enroulées
pour former des cylindres lisses. Il existe deux principaux types de
NTC : à paroi unique et à paroi multiple, qui ont tous deux été
étudiés de manière intensive [45]. Les NTC sont généralement
synthétisés en fonction de la structure et de l'application
souhaitées. Leurs caractéristiques chimiques et physiques, telles
qu'un rapport d'aspect élevé et une conductivité électrique/thermique
élevée, rendent les NTC utiles pour des applications en nanomédecine.
De nouvelles utilisations des NTC dans le domaine des
bionanotechnologies ont récemment émergé. L'utilisation des NTC pour
la détection et la thérapie des maladies a suscité de grandes
attentes. Par conséquent, les NTC constituent des solutions
intéressantes pour les neurosciences et l'ingénierie tissulaire, en
particulier la croissance des tissus neuronaux et ligamentaires pour
les interventions de régénération du SNC (par exemple, le cerveau et
la moelle épinière) et à des fins orthopédiques [46]. De plus, les NTC
peuvent être utilisés comme composants de bloqueurs de canaux ioniques
et de biocapteurs de protéines et d'ADN en parallèle avec des
bioséparateurs et des biocatalyseurs [32]. De plus, les surfaces des
NTC peuvent être modifiées avec un revêtement de nanomatériau,
annonçant la prochaine génération de biocapteurs et de dispositifs
bioélectroniques utilisés dans les applications biomédicales et
améliorant les performances des nanotechnologies existantes [47]. De
plus, des systèmes de transport moléculaire basés sur l'interaction
chimique entre la paroi du NTC et la molécule encapsulée dans le NTC
ou sur la translocation à travers la membrane cellulaire et la
solubilisation ont été conçus [48, 49]. Les résultats expérimentaux
[50] ont révélé l'utilité des NTC à paroi unique en tant que supports
dans des formulations pharmacologiques pour le traitement des maladies
des voies peptiques ainsi que l'intégration réussie des NTC avec des
biomolécules. L'incorporation de biomolécules au sein des NTC permet
leur utilisation dans des systèmes de communication hybrides comme
transistors à effet de champ actifs et biocapteurs électrochimiques
(enzymatiques, ADN ou immuno-capteurs). De plus, une nanomachine pour
remplir les fonctions de base d'une synapse biologique dans un réseau
de neurones a été fabriquée [51]. En conséquence, les NTC ont été
utilisés dans les systèmes nerveux intra-corporels pour sonder et
suivre le comportement cellulaire et pour améliorer la matrice
tissulaire [51].
5 Intégration de MC et de CNT
L'objectif principal de cette étude était de faire
la lumière sur l'intégration des MC et des NTC pour améliorer les
performances des nanoréseaux intra-corporels, tels que le système
nerveux. Nous avons exploité la technologie MC et les fonctionnalités
des NTC pour proposer un schéma d'assimilation. Le schéma proposé
permet d'augmenter ou de diminuer la transmission de signalisation
entre les TN et les RN en utilisant MC parmi les nanomachines. De
plus, les extrémités des neurones sont équipées d'une puce CNT-MEA à
des fins d'interconnexion sans fil pour obtenir une communication
fiable entre deux neurones. Au niveau moléculaire, nous envisageons
que les NTC soient intégrés dans une porte XOR pour agir comme un
interrupteur pour contrôler la concentration des molécules transmises.
Pour ce faire, nous proposons des schémas de contrôle de rétroaction
min/max pour ajuster le taux de transmission dans le nanoréseau du
système nerveux intra-corporel.
5.1 Scénario proposé : schéma d'assimilation
Dans les réseaux neuronaux, le cerveau modifie
l'activité des neurones à l'aide de neurotransmetteurs ; par
conséquent, la communication entre les neurones présynaptiques
(c'est-à-dire TN) et postsynaptiques (c'est-à-dire RN) est gérée par
transmission synaptique. De plus, les neurones sont capables de
réguler l'activité synaptique en utilisant des autorécepteurs sur le
neurone présynaptique qui détectent le nombre de neurotransmetteurs
dans le canal de communication (c'est-à-dire la fente); s'il y en a un
nombre excessif, le neurone présynaptique diminue le taux de
libération [52]. De même, les récepteurs postsynaptiques utilisent ce
processus de régulation comme suit : lorsque le taux de libération du
neurotransmetteur est inhabituel, la sensibilité ou les nombres des
récepteurs postsynaptiques sont modifiés pour compenser. Les
neurotransmetteurs non liés peuvent rester dans le canal de la fente
et ne sont pas efficacement absorbés, entraînant une défaillance de la
communication à travers une synapse. De plus, certaines enzymes
annulent cette accumulation et cette hyperstimulation des
neurotransmetteurs, influençant ainsi le taux de libération, et
peuvent être impliquées dans des maladies qui affectent l'intellect
[17]. Sur la base du mécanisme de régulation de l'activité synaptique,
nous proposons un nouveau schéma pour améliorer la MC dans les réseaux
de neurones utilisant des NTC, en nous appuyant sur des découvertes
récentes [25, 27, 31]. De plus, nous avons envisagé le MC proposé pour
permettre une signalisation accrue et réduite dans les réseaux de
neurones.
Comme illustré sur la figure 5 a, nous considérons
qu'un réseau neuronal est constitué de neurones cultivés sur un
substrat CNT dans lequel MC tire parti des caractéristiques favorables
des CNT. Les neurones présynaptiques et postsynaptiques sont équipés
d'une puce CNT-MEA à des fins d'interconnexion sans fil pour obtenir
une communication fiable. L'approche CNT-MEA est considérée comme non
invasive et permet aux capteurs de s'interfacer avec les neurones,
activant ainsi la signalisation entre les TN et les RN. Par
conséquent, nous proposons un schéma de contrôle de rétroaction
min/max pour ajuster le taux de libération des neurotransmetteurs
comme expliqué dans la sous-section suivante.

Fig.5 (Proposed nanonetwork incorporating MC and CNTs)
(a) Cultured neural network-based CNT, (b) Graphical
illustration of the proposed scheme
5.2 Schéma min/max basé sur le taux de
libération
Les molécules de neurotransmetteur ACh sont libérées du TN et
diffusent à travers la fente synaptique (le canal de communication)
vers le RN dans le nanoréseau nerveux. Cependant, une perte de
communication synaptique peut survenir parce que certaines de ces
molécules sont perdues ou restent dans le canal, ou peuvent être
affectées par des enzymes (par exemple, l'ACh est hydrolysée par l'AChE).
De nombreux médicaments approuvés profitent de ce mécanisme pour
lutter contre des maladies telles que la maladie d'Alzheimer et la
myasthénie grave. La maladie d'Alzheimer endommage les récepteurs de
l'ACh, entraînant une perte de mémoire, des sautes d'humeur et une
dégénérescence du langage, et par conséquent, elle réduit la capacité
du nanoréseau nerveux à améliorer la transmission de l'ACh. Inspirés
par la réaction chimique et la cinétique enzymatique, nous avons imité
ce scénario selon le modèle de système de MC et la détermination du
débit de transmission moléculaire à la section 3. Nous avons supposé
que le RN produit une rétroaction des molécules d'ACh, à savoir l'AChfb,
qui fait référence à la perte molécules. Cela se produit en parallèle
avec l'action RN, qui peut rompre la liaison chimique avec une vitesse
de réaction de rétroaction, Ω([AChfb]), pour produire des molécules
AChfb libres dans le canal de communication. Ce processus chimique
peut être décrit comme suit [32] :
(16)
Les molécules d'ACh de rétroaction peuvent
rester dans le canal de communication et se dégraderont
probablement, entraînant une perte de molécules d'ACh. Par
conséquent, l'efficacité de la transmission de l'ACh et son débit
dans le système nerveux dépendent principalement de la concentration
de rétroaction de l'ACh qui est libérée de la RN [32]. Cela affecte
la propagation et la diffusion de l'ACh. Par la suite, le taux de
transmission vers le neurone postsynaptique est directement affecté.
Selon le contrôle du taux de transmission pour MC, qui exploite les
schémas de rétroaction positive et négative [32], nous avons cherché
à développer un nouveau schéma de taux de libération d'ACh en
incorporant des CNT et des MC dans le nanoréseau proposé, en
exploitant la technologie sans fil CNT-MEA. Un CNT-MEA au niveau du
neurone postsynaptique (RN) permet au neurone présynaptique (TN) de
contrôler le nombre de neurotransmetteurs en fonction des activités
de rétroaction de l'ACh. Par conséquent, notre objectif était de
modéliser MC entre les TN et les RN sur la base de NTC induits
artificiellement.
Pour ce faire, nous avons utilisé des aspects de conception [31] qui
activent l'interface neuronale à l'aide d'un nanocapteur capable
d'initier la signalisation neuronale et permettant d'optimiser la
transmission entre les neurones. Par la suite, nous avons proposé un
schéma de taux de libération basé sur min/max qui est conscient de
la concentration d'ACh, qui peut fonctionner en plus de ce
protocole. De manière analogue aux réseaux de communication, un
débordement de tampon peut se produire au niveau du nœud récepteur
si le nœud émetteur envoie des paquets à un débit supérieur au débit
de réception. Dans les schémas que nous proposons, les schémas min
et max sont analogues au contrôle par rétroaction négative et par
rétroaction positive. Nous avons supposé que la concentration de
rétroaction est toujours élevée, se référant au débordement de
tampon. En conséquence, dans le schéma Min, TN diminue le taux de
libération par opposition au schéma max, qui augmente le taux de
libération. En adoptant le débit de transmission, le schéma max peut
atteindre l'efficacité attendue tandis que le schéma min peut
maintenir le débit.
Par conséquent, dans le schéma basé sur min, le
TN diminue le taux de libération lorsque la concentration d'ACh de
rétroaction est élevée. En d'autres termes, il diminue le taux de
libération d'ACh et atténue l'augmentation du débit, thmax (13), et
maintient ainsi le débit attendu. En revanche, dans le schéma basé
sur max, le TN augmente le taux de libération lorsque la
concentration d'ACh de rétropropagation est élevée. En variante,
l'augmentation du débit de transmission entraîne une augmentation du
débit et de l'efficacité. De plus, E max est calculé en divisant
thmax par le taux de transmission (14), et ainsi le schéma basé sur
max peut atteindre l'efficacité attendue en ajustant avec précision
la concentration d'ACh. Pour illustrer le schéma proposé, nous avons
décrit les CNT comme agissant comme un commutateur XOR entre les TN
et les RN, comme illustré à la Fig. 5 b. En conséquence, le TN est
capable d'adopter un taux de libération basé sur la concentration
des molécules de rétroaction ACh à l'emplacement du TN (d = 0) et
le temps t comme suit : Nous
avons modélisé la concentration de rétroaction des molécules d'ACh
en appliquant la théorie de la cinétique enzymatique et en adoptant
les découvertes de Nakano et al. [32] pour les schémas de
rétroaction positive et négative afin d'utiliser le taux de
transmission (R in) de ACh. Nous avons désigné la concentration de
rétroaction par AChfb et les molécules de rétroaction qui réagissent
avec les TN ont été définies par Ω ([AChfb]). En utilisant
l'expression dérivée de la réaction de rétroaction [32], Ω([AChfb])
peut être exprimé comme suit :
(17)
où X 1, X 2, Y 1 et Y 2 sont les
coefficients associés aux réactions entre les molécules de
rétroaction TN et ACh. Z 1 et Z 2 sont des constantes de taux de
fuite [32].
Nous avons modélisé la concentration de rendement des molécules d'ACh
en appliquant la théorie de la cinétique enzymatique et en adoptant
les découvertes de Nakano et al. [32] pour les schémas de flux
positif et négatif afin d'utiliser le taux de transmission (R in) de
l'ACh. Nous avons désigné la concentration de flux par AChfb et les
molécules de flux qui réagissent avec les TN ont été définies par Ω
([AChfb]). En utilisant l'expression dérivée de la réaction de
renvoi [32], Ω([AChfb]) peut être exprimée comme suit :
6 Analyse des performances du nanoréseau proposé
Dans cette section, nous présentons l'évaluation
des performances des schémas min/max basés sur les nanoréseaux
proposés. Pour atteindre cet objectif, nous avons étudié les
performances du nanoréseau en adoptant le concept MAMNET [44] tout
en tenant compte de la valeur attendue de thmax au RN. De plus, le
taux de transmission dans le contexte de MAMNET est réalisé à
travers trois phases traitables : collision, adhésion et probabilité
de transmission réussie en termes de propagation (β) et de taux de
récupération (γ). Par conséquent, nous avons analysé les mesures de
performance telles que le délai moyen des paquets, le débit et le
taux de trafic encouru lors de l'application du schéma basé sur le
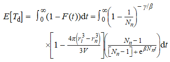
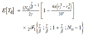
min/max proposé. Le retard de paquet moyen E [T d] a nécessité une
livraison efficace des informations de paquet à l'échelle
nanométrique des TN aux RN, et s'exprime comme suit [5] :
(19)
où rn et ri désignent respectivement les rayons
de la bio-nanomachine et des récepteurs RN. Utilisation d'une
fonction hypergéométrique , E
[T d] est calculé comme suit [54] :
(20)
Le débit moyen ( ) pour envoyer b bits de ACh
est donné par
(21)
De plus, le débit de trafic moyen encouru ( )
pour l'envoi de b bits d'ACh à RN est donné par [5]
(22)
7 Résultats numériques
Dans cette section, nous présentons l'analyse des
performances du nanoréseau proposé basé sur la nanotechnologie MC et
CNT. Nous avons divisé cette section en deux sous-sections. Dans la
première sous-section, nous avons évalué numériquement le débit (thmax)
et l'efficacité (E max) résultant des processus de transmission, de
propagation et de réaction chimique de l'ACh. thmax et E max ont été
calculés en fonction du taux de libération R dans [(13) et (14)]. Ces
équations tiennent compte des paramètres par défaut pour ce scénario
désigné, qui sont répertoriés dans le tableau 1.
Table 1. Paramètres par défaut pour les simulations
|
Parameter |
Value |
|
number of nanomachine receivers,
Nr |
5 |
|
number of nanomachines, Nn |
10–100 |
|
volume, v |
0.1 μm3 |
|
diffusion coefficient, D |
1 μm2 /s |
|
maximum reaction rate, V max |
10 μm−3 /s |
|
half of ACh concentration, V 1/2 |
10 μm−3 |
|
decay rate of ACh molecules, k d |
0.1 s−1 |
|
number of binding sites, n |
1–5 |
|
number of bits, b |
8 bits |
|
release rate, R in |
0–100 s−1 |
Dans la deuxième sous-section, nous analysons les
performances du nanoréseau proposé en utilisant le schéma de taux de
libération basé sur min/max et nous comparons les performances des
schémas de taux de libération basés sur min/max avec un schéma
statique, pour un taux de libération fixe. . Parce qu'ils se
produisent naturellement dans les systèmes neuronaux biochimiques,
nous avons utilisé les paramètres typiques décrits dans la littérature
[5, 32] dans notre simulation. Nous avons utilisé le code logiciel
Matlab pour les simulations et adopté les paramètres par défaut
répertoriés dans le tableau 1 [5].
7.1 Débit et efficacité de transmission ACh
Les figuures. 6 a et b montrent le débit (thmax) et
l'efficacité (E max) des molécules d'ACh lorsque la vitesse de
libération (R in) augmente de 0 à 100 s–1 pour différents nombres de
récepteurs (Nr) et (Nn) de nanomachines , respectivement. Comme on
pouvait s'y attendre, thmax et Emax augmentaient en valeur à mesure
que Nr et Nn augmentaient, respectivement. Néanmoins, la principale
observation de ces figures est l'influence de R in sur thmax et E max.

Fig.6 (ACh
transmission performance)
(a) thmax against R in, (b) E max against R in
Comme démontré, thmax augmentait lorsque R in
augmentait. Notamment, lorsque R in était relativement élevé, la
concentration d'ACh au RN était augmentée et la vitesse de réaction au
RN était relativement élevée. E max a augmenté lorsque R in a augmenté
de 0 jusqu'à ce qu'il atteigne un pic, puis a progressivement diminué
jusqu'à 0. Par conséquent, l'augmentation de R in conduit à une
saturation de la réaction chimique au RN et à une détérioration
conséquente de E max.
Nous pouvons conclure que, lorsque la vitesse de libération R in est
suffisamment élevée, l'absorption des molécules d'ACh (c'est-à-dire la
concentration) au RN est suffisamment élevée pour maintenir la vitesse
de réaction maximale, c'est-à-dire que la limite supérieure du débit
attendu (13) est remplie. D'autre part, selon (14), la borne
supérieure de l'efficacité attendue est une fonction décroissante de R
in. Cette association entre thmax et E max nous permet de déterminer
avec précision le taux de transmission optimal dans un tel nanoréseau.
7.2 Performance du nanoréseau proposé
Nous avons analysé les performances du nanoréseau
proposé sur la base des schémas min/max. À des fins de comparaison,
nous avons étudié les performances du scénario de nanoréseau proposé
pour un taux de libération statique d'ACh, à savoir le schéma
statique. Dans ce cas, la concentration à l'état d'équilibre est
obtenue avec (7). Les paramètres par défaut sont présentés dans le
tableau 1. Nous avons étudié deux scénarios, comme illustré dans les
sous-sections suivantes.
7.2.1 Effets des paramètres
environnementaux
Dans ce scénario, nous avons évalué les
performances du débit ACh (thmax) en fonction du coefficient de
diffusion D et du taux de dégradation k d, qui représentent les
paramètres environnementaux dans le schéma proposé. L'objectif était
d'illustrer les effets des paramètres environnementaux sur le débit de
transmission de l'ACh. Comme représenté sur les Fig. 7 a et b, lorsque
D augmentait, thmax répondait de manière analogue (courbe concave vers
le haut), tandis que thmax diminuait lorsque k d augmentait (courbe
concave vers le bas) pour chaque simulation examinée. Notamment, de
petites valeurs de D entraînent un mouvement limité des molécules d'ACh
dans l'environnement et un nombre limité de molécules d'ACh reçues par
le RN (c'est-à-dire un faible thmax) en raison d'un obstacle
environnemental. Des valeurs élevées de D conduisent à une
augmentation de thmax lorsque la diffusivité des molécules d'ACh dans
le milieu est élevée. Physiquement, en observant k d provoqué par la
réaction des molécules d'ACh avec d'autres molécules, la pression
artérielle et la température ambiante, nous avons conclu que thmax
culmine lorsque les effets de ces paramètres sont limités. Il est
possible de tracer les résultats pour le schéma statique entre les
schémas basés sur min et max. De plus, le schéma basé sur min a
atteint un niveau de débit plus élevé que le schéma basé sur max, ce
qui s'explique par le fait que la diminution du taux de libération d'ACh
empêche une nouvelle augmentation du débit et maintient le débit
attendu.

Fig.7 (ACh
transmission performance)
(a) thmax against D, (b) thmax against k d
De plus, les graphiques révèlent que les schémas
proposés peuvent être adoptés pour libérer les molécules d'ACh en
fonction des conditions environnementales. Par exemple, en supposant
un canal ou un environnement statique, la conception des
bio-nanomachines peut être conçue dans le seul but de transmettre les
molécules d'ACh au taux de transmission optimal, tandis que dans un
environnement dynamique, une telle optimisation est dirigée de
l'extérieur. En effet, l'intégration des MC et des NTC favorise
l'optimisation autonome par les bio-nanomachines, ajustant le débit de
transmission en fonction des conditions environnementales.
7.2.2 Performances métriques du nanoréseau proposé
Dans ce scénario, nous avons évalué les métriques
de performance du réseau telles que le retard moyen des paquets, le
débit et le taux de trafic encouru du nanoréseau proposé, comme
illustré dans les Fig. 8a à c. Les paramètres par défaut pour ce
scénario sont représentés sur la Fig. 8. Le retard de paquet moyen E
[T d] pour la transmission ACh est représenté sur la Fig. 8 a. Le
schéma basé sur min a remplacé le schéma basé sur max parce que le
nombre de molécules d'ACh traitées par le RN par unité de temps était
élevé, en supposant que le schéma basé sur min était utilisé, et donc,
le débit attendu a été atteint. Cela a conduit à une diminution du
délai moyen de livraison de l'ACh par rapport aux schémas statiques et
basés sur le maximum. La diminution du délai de livraison de l'ACh au
RN a produit un débit de nanoréseau élevé et un trafic induit, comme
le montrent les Fig. 8b et c, respectivement. En effet, le nombre
moyen d'ACh reçu par le RN est proportionnel au retard de livraison de
l'ACh. En d'autres termes, plus le délai est court, plus le débit et
le trafic généré sont élevés.

Fig.8 (Nanonetwork
performance metrics)
(a) E [T d] against Nn, (b) thmax against Nn, (c) ρ itr against Nn
En résumé, notre analyse montre que les mesures de
performance du réseau en termes de débit de transmission, de délai
moyen et de trafic encouru peuvent être évaluées sur la base des
schémas de contrôle de rétroaction proposés qui permettent aux
bio-nanomachines d'adopter le taux de libération en fonction des
molécules de rétroaction libérées. du RN causée par une réaction
chimique avec des molécules d'ACh transmises par le TN. D'autre part,
la variance du débit et de l'efficacité du nanoréseau dans un
environnement dynamique peut être gérée en déployant les schémas de
contrôle de rétroaction Min et Max. De plus, le schéma d'assimilation
MC-CNT peut maintenir la robustesse du nanoréseau contre les
variations environnementales, y compris le niveau de pH et la
température.
8 Conclusions
L'optimisation de la conductivité des molécules d'ACh
dans les nanoréseaux neuronaux pourrait fournir des systèmes
nanomédicaux améliorés potentiellement utiles dans le traitement des
maladies chroniques. En outre, le nanoréseau proposé, qui a été étudié
en termes de débit de transmission moyen, de délai moyen et de taux de
trafic acquis, ouvre la voie à une détection/diagnostic inspiré des
TIC et à des techniques médicales innovantes. Sur cette base, les
travaux actuels pourraient jeter les bases de futurs travaux en
nanomédecine, conduisant à l'atténuation ou même au traitement des
maladies neurodégénératives. Par conséquent, un tel nanoréseau
pourrait être utilisé dans les interfaces cerveau-machine dans un
avenir proche.
9 Reconnaissance
Les auteurs remercient le doyen de la recherche
scientifique de l'Université King Saud d'avoir soutenu ce travail
par le biais du groupe de recherche no (RGP-1438-27).
10 Références
-
1Madani
S.Y. Naderi
N. Dissanayake
O. et al.: ‘A
new era of cancer treatment: carbon nanotubes as drug
delivery tools’, Int.
J. Nanomed., 2011, 6,
pp. 2963 – 2979
-
2Suda
T. Moore
M. Nakano
T. et al.: ‘Exploratory
research on molecular communication between nanomachines’. Proc.
Genetic and Evolutionary Computation Conf. (GECCO'05), June
2005, pp. 1 – 4
-
3Akyildiz
I.F. Brunetti
F. Blazquez
C.: ‘Nanonetwork:
a new communication paradigm’, Comput.
Netw., 2008, 52,
pp. 2260 – 2279
-
4Nakano
T. Eckford
A. Haraguchi
T.: ‘ Molecular
communication’ ( Cambridge University Press, Cambridge,
UK, 2013)
-
5Abd
El-atty S.M. Gharsseldien
Z.M. Lizos
K.A.: ‘Framework
for single input single output nanonetwork-based realistic
molecular communication’, IET
Nanobiotechnol., 2015, 9,
(6),
pp. 331 – 341
-
6Farsad
N. Yilmaz
H.B. Eckford
A. et al.: ‘A
comprehensive survey of recent advancements in molecular
communication’, IEEE
Commun. Surv. Tutor., 2016, 18,
(3),
pp. 1887 – 1919
-
7Felicetti
L. Femminella
M. Reali
G. et al.: ‘Applications
of molecular communications to medicine: a survey’, Nano
Commun. Netw., 2016, 7,
pp. 27 – 45
-
8Chahibi
Y.: ‘Molecular
communication for drug delivery systems: a survey’, Nano
Commun. Netw., 2017, 11,
pp. 90 – 102
-
9Minnikanti
S. Peixoto
N.: ‘ Implantable
electrodes with carbon nanotube coatings’, in J.M.
Marulanda (Ed.): ‘ Carbon
nanotubes applications on electron devices’ (
InTech, NewYork, 2011),
ch. 6
-
10Cipollone
S.: ‘ Carbon
nanotubes and neurons: nanotechnology application to the
nervous system’, PhD thesis, Universitá degli Studi
di Trieste, 2009
-
11Guo
X. Small
J.P. Klare
J.E. et al.:
‘Covalently
bridging gaps in single-walled carbon nanotubes with
conducting molecules’, Science, 2006, 311,
(5759),
pp. 356 – 359
-
12Qian
H. Lu
J.-Q.: ‘Molecular
electronic switch using carbon nanotube electrodes’, Phys.
Lett. A, 2007, 371,
pp. 465 – 468
-
13Abidian
M.R. Kim
D.-H. Martin
D.C.: ‘Conducting-polymer
nanotubes for controlled drug release’, Adv.
Mater., 2006, 18,
(4),
pp. 405 – 409
-
14Zhang
W. Zhang
Z. Zhang
Y.: ‘The
application of carbon nanotubes in target drug delivery
systems for cancer therapies’, Nanoscale
Res. Lett., 2011, 6,
pp. 555.
doi: 10.1186/1556-276X-6-555
-
15Malak
D. Akan
O.B.: ‘Communication
theoretical understanding of intra-body nervous
nanonetworks’, IEEE
Commun. Mag., 2014, 52,
pp. 129 – 135
-
16Akan
O.B. Ramezani
H. Khan
T. et al.: ‘Fundamentals
of molecular information and communication science’, Proc.
IEEE, 2016, 99,
pp. 1 – 13
-
17Colovic
M.B. Krstic
D.Z. Lazarevic-Pasti
T.D. et al.:
‘Acetylcholinesterase
inhibitors: pharmacology and toxicology’, Curr.
Neuropharmacol., 2013, 11,
pp. 315 – 335
-
18Zhang
Y.G. Yang
Z. Yang
Y.L.A. et al.:
‘Pharmacological
and toxicological target organelles and safe use of
single-walled carbon nanotubes as drug carriers in
treating Alzheimer disease’, Nanomedicine, 2010, 6,
(3),
pp. 427 – 441
-
19Wang
J.T.-W. Al-Jamal
K.T.: ‘Functionalized
carbon nanotubes: revolution in brain delivery’, Nanomedicine, 2015, 10,
(17),
pp. 2639 – 2642
-
20Abbott
N.J.: ‘Blood–brain
barrier structure and function and the challenges for CNS
drug delivery’, J.
Inherit. Metab. Dis., 2013, 36,
(3),
pp. 437 – 449
-
21Shityakov
S. Salvador
E. Pastorin
G. et al.: ‘Blood-brain
barrier transport studies, aggregation, and molecular
dynamics simulation of multiwalled carbon nanotube
functionalized with fluorescein isothiocyanate’, Int.
J. Nanomed., 2015, 10,
pp. 1703 – 1713
-
22Kafa
H. Wang
J.T.-W. Rubio
N. et al.: ‘The
interaction of carbon nanotubes with an in vitro blood–brain
barrier model and mouse brain in vivo’, Biomaterials, 2015, 53,
pp. 437 – 452
-
23John
A. Subramanian
A.P. Vellayappan
M.V. et al.:
‘Carbon
nanotubes and graphene as emerging candidates in
neuroregeneration and neurodrug delivery’, Int.
J. Nanomed., 2015, 10,
pp. 4267 – 4277,
article A312
-
24Tiwari
J.N. Vij
V. Kemp
K.C. et al.:
‘Engineered
carbon-nanomaterial-based electrochemical sensors for
biomolecules’, ACS
Nano, 2016, 10,
(1),
pp. 46 – 80
-
25Suzuki
I. Fukuda
M. Shirakawa
K. et al.: ‘Carbon
nanotube multi-electrode array chips for noninvasive
real-time measurement of dopamine, action potentials, and
postsynaptic potentials’, Biosens.
Bioelectron., 2013, 49,
pp. 270 – 275
-
26Lovat
V. Pantarotto
D. Lagostena
L. et al.: ‘Carbon
nanotube substrates boost neuronal electrical signalling’, Nano
Lett., 2005, 5,
pp. 1107 – 1110
-
27Cellot
G. Cilia
E. Cipollone
S. et al.: ‘Carbon
nanotubes might improve neuronal performance by favouring
electrical shortcuts’, Nat.
Nanotechnol., 2009, 4,
pp. 126 – 133
-
28Acker
C.D. Antic
S.D.: ‘Quantitative
assessment of the distributions of membrane conductances
involved in action potential backpropagation along basal
dendrites’, J.
Neurophysiol., 2009, 101,
(3),
pp. 1524 – 1541
-
29Brunner
J. Szabadics
J.: ‘Analogue
modulation of back-propagating action potentials enables
dendritic hybrid signalling’, Nat.
Commun., 2016, 7,
pp. 1 – 13
-
30Suzuki
J. Budiman
H. Carr
T.A. et al.:
‘Simulation
framework for neuron-based molecular communication’, Procedia
Comput. Sci., 2013, 24,
pp. 103 – 113
-
31Balasubramaniam
S. Boyle
N.T. Della-Chiesa
A. et al.: ‘Development
of artificial neuronal networks for molecular
communication’, Nano
Commun. Netw., 2011, 2,
(2-3),
pp. 150 – 160
-
32Nakano
T. Okaie
Y. Vasilakos
A.V.: ‘Transmission
rate control for molecular communication among biological
nanomachines’, IEEE
J. Sel. Area Commun., Sup. Part 2, 2013, 31,
(12),
pp. 835 – 846
-
33Hormuzdi
S.G.: ‘Electrical
synapses: a dynamic signaling system that shapes the
activity of neuronal networks’, Biochim.
Biophys. Acta – Biomembranes, 2004, 1662,
(1-2),
pp. 113 – 137
-
34Galluccio
L. Palazzo
S. Enrico
Santagati G.: ‘Characterization
of molecular communications amongimplantable biomedical
neuro-inspired nanodevices’, Nano
Commun. Netw. J., 2013, 4,
pp. 53 – 64
-
35Noback
C.R. Strominger
N.L. Demarest
R.J. et al.:
‘ The
human nervous system structure and function’ (
Humans Press Inc., 2005)
-
36Francis
P.T.: ‘The
interplay of neurotransmitters in Alzheimer's disease’, CNS
Spectr., 2005, 10,
pp. 6 – 9
-
37Waymire
J.C.: ‘ An
electronic textbook for the neuroscience’, Neuroscience (
The University of Texas Medical School at Houston, Houston,
USA, 1997)
-
38Abd
El-atty S.M. Gharsseldien
Z.M.: ‘Influence
of inter-nanoparticle interaction on nanonetworks-based
molecular communications’, Int.
J. Light Electron Opt., 2016, 127,
(5),
pp. 2959 – 2968
-
39Abd
El-atty S.M. El-Taweel
A. El-Rabaie
S.: ‘Transmission
of nanoscale information-based neural communication-aware
ligand–receptor interactions’, Neural
Comput. Appl., accessed 10 March 2017, DOI:
10.1007/s00521-017-2936-5, pp. 1 – 14
-
40Pierobon
M. Akyildiz
I.F.: ‘Fundamentals
of diffusion-based molecular communication in nanonetworks’, Found.
Trends Netw., 2014, 8,
(1-2),
pp. 1 – 147
-
41Sidell
F.R.: ‘ Medical
aspects of chemical and biological warfare’ (
Borden Institute, Walter Reed Army Medical Center, New
York, NY, 1997),
pp. 131 – 139
-
42Smart
J.L. Andrew
McCammon J.: ‘Analysis
of synaptic transmission in the neuromuscular junction
using’, Biophys.
J., 1998, 75,
pp. 1679 – 1688
-
43Keener
J. Sneyd
J.: ‘ Mathematical
physiology I: cellular physiology’ ( Springer, Netherlands, 2008)
-
44Guney
A. Atakan
B. Akan
O.B.: ‘Mobile ad
hoc nanonetworks with collision-based molecular
communication’, IEEE
Trans. Mob. Comput., 2012, 11,
(3),
pp. 353 – 366
-
45Bianco
A. Kostarelos
K. Partidos
C.D. et al.:
‘Biomedical
applications of functionalised carbon nanotubes’, Chem.
Commun., 2005, 5,
pp. 571 – 577
-
46Webster
T.J. Waid
M.C. McKenzie
J.L. et al.:
‘Nano-biotechnology:
carbon nanofibres as improved neural and orthopaedic
implants’, IOP
Nanobiotechnol., 2003, 15,
(1),
pp. 48 – 54
-
47Vo-Dinh
T.: ‘ Biomedical
photonics handbook’ ( CRC Press, USA, 2003),
1872pp
-
48Wang
Q.: ‘Atomic
transportation via carbon nanotubes’, Nano
Lett., 2008, 9,
pp. 245 – 249
-
49Pantarotto
D. Briand
J.P. Prato
M. et al.: ‘Translocation
of bioactive peptides across cell membranes by carbon
nanotubes’, Chem.
Commun., 2004, 1,
pp. 16 – 17
-
50Ansón-Casaos
A. Grasa
L. Pereboom
D. et al.: ‘In-vitro
toxicity of carbon nanotube/polylysine colloids to colon
cancer cells’, IET
Nanobiotechnol., 2016, 10,
(6),
pp. 374 – 381
-
51Kim
K. Chen
C.-L. Truong
Q. et al.: ‘A
carbon nanotube synapse with dynamic logic and learning’, Adv.
Mater., 2013, 25,
pp. 1693 – 1698
-
52Engelman
H.S. MacDermott
A.B.: ‘Presynaptic
ionotropic receptors and control of transmitter release’, Nat.
Rev. Neurosci., 2004, 5,
pp. 135 – 145
-
53Credi
A. Balzani
V. Langford
S.J. et al.:
‘Logic
operations at the molecular level. An XOR gate based on a
molecular machine’, J.
Am. Chem. Soc., 1997, 119,
(11),
pp. 2679 – 2681
-
54Pearson
J.: ‘ Computation
of hypergeometric functions’, PhD thesis,
University of Oxford, 2009
11 Littérature citée
Number of times cited according to CrossRef: 2
-
Aya El-Fatyany, Hongzhi Wang, Saied M. Abd
El-atty, Efficient
Framework Analysis for Targeted Drug Delivery
Based on Internet of Bio-NanoThings,
Arabian Journal for Science and Engineering,
10.1007/s13369-021-05651-2, 46,
10,
(9965-9980),
(2021).
-
Dongliang Jing, Yongzhao Li, Rongnan Hang, Zhenqiang
Wu, Hailin Zhang, ISI‐mitigating
modulation scheme using ion reaction for
molecular communications,
IET Nanobiotechnology,
10.1049/iet-nbt.2018.5272, 13,
7,
(674-681),
(2019).
IET Nanobiotechnol., 2018, Vol.
12 Iss. 2, pp. 201-210 © The Institution of Engineering and
Technology 2017
|